交易的不是资产,而是预测本身。
撰文:HirokiKotebe
tl’dr
每一个决定都始于一个预测。想想比特币的潜力:现在购买比特币,到年底是否会使投资翻倍?如果「是」的前景被认为比「否」更有可能,那么在没有更好的选择的情况下,决定购买比特币就是经济上理性的。
但为什么只局限于比特币呢?想象一下,我们可以构建以各种事件预测为基础的市场,比如谁将成为下一任美国总统,或者哪个国家将赢得世界杯。在这里,交易的不是资产,而是预测本身。
预测市场被 Vitalik 称为「认知技术的圣杯」。

Vitalik 擅长比其他人更早地洞察到大机会,因此他是一个很好的前沿叙事的信息源。他在七年前的一篇博文中提出了以太坊上的 AMM(Automated Market Maker)的想法。然后一个叫 Hayden Adams 的人响应了这一呼吁,并开始构建它,获得了 6 万美元的资助。两年后,Uniswap 诞生了。
如果 Vitalik 的博文能够引发创造 1000 亿美元以上的产业,那我们可能应该关注他的观点。例如,Vitalik 在 2014 年就对在治理中使用预测市场感到兴奋——一种被称为「未来政治」的激进治理形式——现在我们看到 Meta DAO 正在实施这一理念,大型风险投资公司如 Pantera 也参与其中。
但我们想要关注的是他最近关于预测市场和 AI 的讨论,因为我们开始看到一些重大的事情的雏形。
目前市场领先的预测市场是 Polymarket,这要归功于其持续改进的用户体验,以及对事件类别和事件供给的扩展。

数据来源:Dune
最近的交易量创下了历史新高,并且随着今年 11 月的美国总统选举(Polymarket 的用户主要集中在美国),很可能会进一步增加。
有其他迹象表明,预测市场今年可能会起飞。除了 2024 年加密市场创下历史新高,今年还是历史上选举最多的一年。包括美国、印度、俄罗斯、墨西哥、巴西、孟加拉国、印度尼西亚和巴基斯坦在内的世界十个人口最多的国家将进行选举。此外,2024 年夏季奥运会即将在巴黎举行。
但考虑到每月的交易量仍然只有数千万美元,而它本可能达到数亿美元,让我们考虑一下当前预测市场的一些局限性:
我们相信这个东西就是 AI 。
人类需要 AI 作为游戏中的参与者。我们预计,很快会看到 AI (机器人)与人类代理商一起参与预测市场。我们已经可以在 Omen 和 PredX 等平台上看到这方面的演示,而可能还有其他许多平台即将进入这个领域。稍后会详细介绍。
AI 需要 AI 作为游戏的仲裁者。尽管相对较少,但在预测市场中,争议解决很重要且必要。例如,在总统选举中,结果可能非常接近,会出现选举舞弊的指控。因此,尽管预测市场可能以支持候选人 A 结束,但官方选举委员会可能宣布候选人 B 为胜利者。支持候选人 A 的下注者会声称存在舞弊行为而反对结果,而支持候选人 B 的下注者会辩称选举委员会的裁决反映了「真实」结果。这之间可能会牵涉大量资金,谁是对的?
回答这个问题面临着几个挑战:
为解决这一问题,预测市场可以使用类似 Kleros 的多轮争议解决系统,只不过是使用 AI 而非人类来解决早期阶段的争议,而人类则只会在极少数情况下参与最终无法解决的争议仲裁。玩家可以相信 AI 是公正的,因为制造足够多的训练数据来影响 AI 是不可行的。此外,AI 裁判工作速度更快、成本也更低。xMarkets 正在朝这个方向努力。
要真正让预测市场起飞,它们需要能够引起足够的兴趣,使人们克服心理障碍,真正开始交易预测资产。对于像谁将赢得总统选举或超级碗这样许多人关心的话题,可能并不需要太多努力。但是,仅包括这种话题严重限制了潜在的流动性。理想情况下,一个预测市场应该能够吸引特定受众高度感兴趣的特定事件的流动性,这就像定向广告一样,我们都知道定向广告是有效的。
为了实现这一目标,预测市场需要解决四大挑战:
现在,让我们看看 AI 如何应对这些挑战:
现在,让我们来看看当你将这些组合在一起时会是什么样子。下面,您可以看到没有 AI 的预测市场的主要组成部分和运作方式(黑色),以及有 AI 的预测市场的主要组成部分和运作方式(蓝色)。

在非 AI 模型中,内容创作者(通常是平台本身)随意创建事件,提供流动性(最初由其资金库补贴),将事件保存到事件数据库,并批量推广给人类玩家。这就是 Polymarket 目前的运作方式,而且效果相当不错。
但是,我认为它可以变得更好。
在 AI 模型中,内容创作者的协作 AI (copilot AIs)支持内容创作者在定向的一般或利基社区内创建和推广事件。流动性提供由流动性分配器 AI 支持,它通过学习玩家订单簿并使用来自预言机和其他数据供应商的外部数据,随着时间的推移优化流动性注入。事件推荐 AI 使用事件数据库中的存储事件和钱包交易历史,根据个人兴趣优化事件推荐。最后,信息聚合 AI 从数据供应商那里收集信息,为人类玩家提供教育和背景信息,并向 AI 玩家提供关于他们的预测决策的信息。最终目标是打造一个精细调整的预测市场系统,使预测市场能够在微观层面上运作。
在这种规模下的预测市场将带来一种不同的用户体验,更像是 Tinder 或 TikTok。由于事件是高度定向的,它们可以像 TikTok 那样通过一个动态流 (feed) 呈现给您,而且即使在当今的钱包和区块链技术下,玩家也可以像 Tinder 那样通过左滑或右滑来下注。想象一下,人们在通勤上班或上学的时候,对他们个人关心的事件进行微型投注。
最难预测的结果之一是资产价格,所以让我们把重点放在这里,看看在预测市场的可能边缘上, AI 的表现如何。
在学术界,利用 AI 预测资产价格的研究正在积极探索中。线性模型、随机森林和支持向量机等机器学习技术已经被证明在预测加密货币价格时比人类评判者具有更高的准确性。这些模型发现,像谷歌搜索强度这样的行为指标可以解释价格的变化。
IBM 研究探索了人工预测市场在商品价格预测方面的应用,并提供了一个有说服力的案例研究,展示了将 AI 与预测市场相结合的潜力。他们的研究突出了人工预测市场整合多样化和不断演化的实时信息来源,以在复杂的现实世界问题中做出更好的预测,例如预测非在线交易所上交易的波动性商品(例如乙烯、烃类)。之所以在这里, AI 代理能够胜过标准机器学习模型,是因为它们可以通过自我学习来逐渐提升预测能力。
另一项研究比较了随机森林回归和 LSTM 在预测比特币次日价格方面的表现,结果显示前者在预测误差较小方面表现更好。它还展示了 AI 在信息聚合广度上的强大能力,远远超出了普通人的能力,可以对包括(a)比特币价格变量;(b)比特币的技术指标;(c)其他代币价格;(d)大宗商品;(e)市场指数;(f)外汇;(g)公众关注度;以及(h)一周内的虚拟变量在内的 47 个变量进行建模。最重要的预测因子随时间而变化,从 2015 年至 2018 年的美国股市指数、油价和以太坊价格,到 2018 年至 2022 年的以太坊价格和日本股市指数。研究还发现,在预测比特币次日价格时,随机森林回归模型在一天的延迟下表现最佳。

我们可以推断,在一些热门的预测市场中,对于一个忙碌的人来说,聚合、分析和解释大量数据以做出良好的预测所需的时间实在太少。或者,问题本身就过于复杂。但是 AI 可以做到这一点。
Pond 正在构建一个基于加密货币的去中心化基础模型,该模型已应用于基于链上行为生成的 AI 代币推荐。目前,他们使用大规模图神经网络(GNN)利用链上行为数据来估计各种代币的 Alpha 概率。GNN 是一类专门设计用于处理图形表示的数据的 AI 模型,因此在数据之间存在关系结构时 ( 如区块链的点对点交易网络 ) 它们就非常有用。Dither 是另一个代币推荐 AI ,它通过一个代币门控的 Telegram 警报机器人采用时间序列建模方法进行代币推荐。

预测市场面临的主要挑战之一是市场过于薄弱,无法吸引足够的参与者和成交量。但是,2010 年代和 2020 年代的预测市场之间存在一个重大区别,即 AI 普遍参与的可能性。正如 Vitalik 指出的那样:

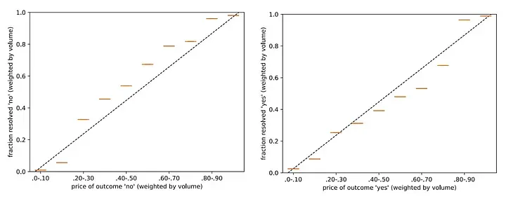
此外,可以改进预测市场底层的自动化做市商(AMM)模型。例如,在对 Polymarket 上的 200 多万笔交易进行分析时,发现使用传统的常量乘积 AMM(x*y=k)在收敛的预测市场中存在流动性供应问题,包括:
收敛和流动性移除。随着预测市场的收敛(即结果变得更加确定),流动性提供者会有动机撤出他们的流动性。这是合理的行为,因为持有「亏损」的代币的风险增加。例如,在趋向于「是」的市场中,「否」的代币变得不那么有价值(即无常损失),这对于流动性提供者来说是一种风险,如果他们不提前出售,可能最终得到一些毫无价值的代币。
偏差和不准确性。流动性的减少可能导致预测市场收敛时更少的准确性和更多的偏差。具体来说,在 0.2 到 0.8 的成交量加权价格范围内,「否」的代币经常被低估,而「是」的代币经常被高估。

Source: Kapp-Schwoerer (2023)
为了解决这些问题,作者提出了一种「平滑流动性做市商」(SLMM)模型,并证明它可以增加收敛预测市场的交易量和准确性。它通过引入一个集中函数(类似于 Uniswap v3)到模型中来实现这一点,在该函数中,流动性提供者提供的流动性仅在特定价格区间内有效。结果是降低了风险敞口,确保流动性提供者持有的有价值代币数量(例如在市场收敛到「是」结果的市场中的「是」代币)在价格调整时不会收敛到零,与常量乘积 AMM 不同。
在选择像 SLMM 这样的集中流动性 AMM 变体用于收敛的预测市场时,必须达到一种平衡。虽然你试图降低流动性提供者的风险,但也会减少一些交易活动的动力。
具体而言,集中流动性可以降低在市场收敛到确定结果时流动性提供者损失的可能性(从
而减少提前撤资),但它也可能由于增加的滑点而减少利用小的价格变动(例如从 0.70 美元涨至 0.75 美元)进行交易获利的机会,特别是对于大额订单。直接的结果是交易者的潜在利润空间被挤压。例如,如果他们预期价格从 0.70 美元上涨至 0.75 美元,滑点可能限制他们能够有效利用的资金来捕捉预期的上涨。展望未来,在这些做市商公式中试验各种权衡项的调整将非常重要,以找到最佳平衡点。
预测市场是一种强大的基础设施。当然,像任何其他加密基础设施一样,它面临着挑战,但我们有信心这些挑战将被克服。随着逐渐解决这些挑战,我们可以预期在各种数字环境中重复使用这个基础设施来回答各种问题。随着目标定位和流动性解决方案的进步,我们可以期待特定领域的预测市场的发展。例如,以 X(原 Twitter)用户为例:
有趣的是,这些问题不需要局限于独立的预测市场网站。它们可以通过浏览器扩展直接集成到 X 或其他平台中。我们可能会经常在日常的在线体验中看到微型预测市场的出现,为普通的浏览体验增添了投机交易的机会。
上面的问题中,有些是我写的,有些是内容生成 AI 写的。如果很难分辨出来,那是因为 ChatGPT 的内容生成 AI 已经非常出色。其他大型科技公司构建的信息聚合 AI 和推荐引擎也是如此(看看 Google 和 Instagram 向您展示的广告)。虽然要达到这些模型的性能需要工作和时间,但它们证明了这些 AI 类别的可行性。缺乏先例的主要开放性问题更多地涉及流动性分配器 AI、AI 参与者以及 AI 的自我改进和目标导向性的发展 - 从基本机器学习到可验证的 AI 代理的演变。
最初发表于 HackerNoon。特别感谢 Rein Wu、Dylan Zhang 和 Bill Shi 对此的反馈和贡献。
【免责声明】市场有风险,投资需谨慎。本文不构成投资建议,用户应考虑本文中的任何意见、观点或结论是否符合其特定状况。据此投资,责任自负。
